时间:2017-4-4 13:40:00 点击率:1590 作者:上海拓科实业有限公司 来源:http://www.torke.cn
布拉格光栅技术 35 个常见问题解答(一)
基于布拉格光栅(FBG)的光纤传感器正变得越来越受欢迎。它们易于安装,免受电磁干扰,可用于可能爆炸的环境。但是布拉格光栅如何工作?
我们的专家整理了 35个常见问题,并给出了精准回答:
布拉格光栅如何工作?
布拉格光栅是波长非常小的的光纤,其包括多个可反射特定波长反射点。光栅结构可以通过强烈 UV光对光纤芯影响产生。
布拉格光栅的反射点之间的距离总是相等的。精确匹配两个反射点距离的波长由光栅反射,而其他波长不被反射或被阻止。布拉格光栅传感器信号是每个光栅反射产生的窄光谱。
解调仪可以测定独立反射峰的波长。一旦布拉格光栅遭受应力变化,反射点距离将会改变,并且反射不同的波长。这样布拉格波长变化就可以被测量。类似于电阻应变片, 应用中包括:
λ 布拉格光栅的基本波长(测量开始时的波长)
Δλ 施加到光栅的应变产生的波长变化
k k 系数
ε 应变
如何测量应变?
通过布拉格光栅传感器,光栅解调仪测定的是窄光谱的峰值波长。当应变导致光栅传感器波长变化时,解调仪测定的波长峰值与应变成正比。其中应变系数或传感器灵敏度被用作比例系数。
HBM FiberSensing 解调仪带有图形化用户界面和强大的采集和数据分析软件,例如 catman®.
应变测量对温度是否敏感?
光纤布拉格光栅对应变和温度都很敏感。这意味着经受应变和温度的传感器的应变测量也受温度变化的影响。但这种效应是很好的特点并容易补偿。有几种方法可以补偿这种影响:
采用另外一个光栅传感器在相同温度变化下只进行温度测量
采用另外一个光栅传感器作为样件 (安装在相同材料上,但不施加应变);
采用另外光栅传感器确保施加的应变相同, 但带有不同信号 (例如一个在悬臂顶部,一个在底部);
采用一个裸布拉格光栅,不固定且不带有端子;
采用无热应变传感器以补偿应变测量中的不期望的温度效应;
其他…
什么是温度补偿,如何工作?
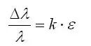
1) 布拉格光栅(FBG)应变依赖性
布拉格光栅的应变依赖性由下式给出:
这里:
k– 布拉格光栅的 k 系数
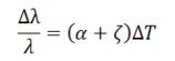
2} 布拉格光栅(FBG)温度依赖性
布拉格光栅的温度依赖性由下式给出:
这里:
– 光纤的热膨胀系数
ζ – 热光系数(折射率对温度的依赖性)
3) 固定布拉格光栅(FBG)的温度依赖性
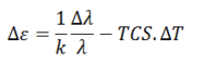
如果光纤应变仪被固定到刚性无应变结构,温度可以改变光纤的折射率,但是其膨胀由结构固定。这等同于考虑固定光纤的热膨胀= 0。光纤布拉格光栅测量应变的温度依赖性为:
当测量应变时,该温度引起的波长变化与应变混淆。实际由温度引起的测量应变为
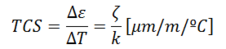
因此,对温度的交叉敏感性(TCS)由下式给出:
有效应变应该由应变传感器测量的应变减去温度的影响:
这种变形的校正没有考虑温度对固定传感器结构变形的影响。
固定在结构上的布拉格光栅(FBG)的温度依赖性
为了补偿由于温度效应引起的结构的变形,计算应当考虑结构的热膨胀系数(CTE)来进行。
结构的总应变变化为:
固定到承受负载和温度的结构的传感器的波长变化由下式给出:
这意味着为了补偿由于温度效应引起的结构的变形,有必要知道传感器固定在其上的结构的材料的CTE值。
在应力和温度双重影响的情况下,是否可能仅测量应力?还是温度效应?
为了仅测量应力,需要补偿温度的影响。 有几种方法,其中包括使用特殊的机械结构或使用额外的布拉格光栅(FBG)传感器。
例如通过裸光纤,或是光纤补偿传感器 OTC 或是 FS63 光纤温度传感器来实现
我能用布拉格光栅传感器测量薄片的弯曲应变吗?
相比传统应变片,布拉格光栅传感器具有更大厚度,在测量弯曲应变时,不可避免地会产生较大的误差,但可以通过一项方式补偿:
εOF 部件的表面应变
εAnz 通过光纤测量的应变
h 部件的厚度
d 部件表面到光纤的距离
另外,光纤具有更小的弯曲半径。HBM OP Line 传感器具有弯曲表面的应变测量能力,考虑的距离 d=0.5 mm.
FS Line 传感器的标准布拉格波长距离为6.4nm,OP Line传感器的标准布拉格波长距离为5nm,有什么具体原因?
布拉格波长是布拉格光栅生产时进行的定义。 为了简化生产,定义了标准值。
由于历史原因导致 FS Line 和 OP Line 波长不同。
实际上,可在 1500 nm 和 1600 nm 波长之间进行定制。
在恶劣的环境下,FBG技术可以应用于哪里?
HBM FiberSensing 光学系统现已经成功部署的恶劣环境包括:高温,高辐射,高真空,高压和低温环境。
例如以下应用:
大功率发电机的振动和温度监测;
电力变压器热点监测;
风力叶片监控;飞机燃料箱中的应力监测;
热核反应堆中的应变,温度和位移监测;
航天器监控等
光纤可以实现的最大传输距离是多少?
光纤中的距离衰减非常小。 结合HBM FiberSensing光学解调仪,光纤长度可以达到几十公里。
什么是光纤传感器的压力效应
当光栅经受压力时,反射峰上存在波长偏移。 波长变化约为:
然而,与由应变或温度变化引起的波长变化相比,这种效应非常小,因此通常被忽略。
在遭受压力,光纤传感器经受点横向负载时,会发生双折射现象。 这意味着将出现新的峰(两个峰将同时共存),并且其偏移也可以被量化。
| 上一篇:布拉格光栅技术35个常见问题解答(二) | 下一篇:中国首列市域动车组列车下线 打造"1小时交通圈 |
欢迎光临上海拓科,本网站为您提供高品质,专业的服务!






















